B-1271
October 2015
Derek Scasta, Assistant Professor and Extension Rangeland Specialist
Wildland Fire in Wyoming: Patterns, Influences, and Effects
Issued in furtherance of extension work, acts of May 8 and June 30, 1914, in cooperation with the U.S. Department of Agriculture. Glen Whipple, director, University of Wyoming Extension, University of Wyoming, Laramie, Wyoming 82071.
Persons seeking admission, employment, or access to programs of the University of Wyoming shall be considered without regard to race, color, religion, sex, national origin, disability, age, political belief, veteran status, sexual orientation, and marital or familial status. Persons with disabilities who require alternative means for communication or program information (Braille, large print, audiotape, etc.) should contact their local UW Extension office. To file a complaint, write to the UW Employment Practices/Affirmative Action Office, University of Wyoming, Department 3434, 1000 E. University Avenue, Laramie, WY 82071.
Wildland Fire in Wyoming: Patterns, Influences, and Effects
By Derek Scasta, Assistant Professor and Extension Rangeland Specialist,
University of Wyoming, Department of Ecosystem Science & Management
Editor: Chavawn Kelley, College of Agriculture and Natural Resources, Office of Communications and Technology.
Graphic Designer: Tanya Engel, College of Agriculture and Natural Resources, Office of Communications and Technology.
Wildland Fire in Wyoming: Patterns, Influences, and Effects
Wildland Fire in Wyoming | 1
INTRODUCTION
Fire on North American rangelands and forests has been a regular and formative process for centuries. One of the most recognized fires of modern history occurred largely in Wyoming in 1988 when more than a third (>700,000 acres) of Yellowstone National Park burned due to high fuel loads, high winds, and drought conditions. Although this fire was considered a natural resource disaster by some, this type of infrequent and large fire may have been the characteristic fire pattern for some plant communities in the Rocky Mountains (Baker 2009).
It is also important to consider that the influence of wildland fire on plants, animals, and humans is not limited to North America; rather, it is a regular disturbance on other continents and is considered a global process linked to climate patterns and human activity (Carmona-Moreno et al. 2005; Flannigan et al. 2009; Bowman and Murphy 2011).
Wildland fire is feared because of the threat of property destruction and death. In contrast to that fear, fire is also recognized as an important disturbance that dictates vegetation patterns and has implications for wildlife habitat and livestock production. It has been proposed that fire may be as important as soil and water in patterning vegetation, but at different time and space scales.
In this bulletin, I will examine two types of wildland fire in Wyoming: wildfires that burn unintentionally and prescribed fires that are intentionally set by humans to achieve land management objectives. I will also review (1) the influence of drought and plant communities on the pattern of fire in Wyoming; (2) the influence of fire
weather, season, and fuel characteristics on fire behavior; (3) how to calculate and measure fire intensity and severity; (4) prescriptions and precautions for prescribed burning; and (5) fire effects and interactions with soils, plants, livestock, wildlife, and bark beetle outbreaks.
Wildfire
Wildfire patterns in general tend to be weather-driven for two reasons. First, precipitation influences the growth and accumulation of vegetation that serves as the fuel for wildland fires. Second, weather patterns, such as wind and humidity, influence the probability vegetative fuels will ignite and how fires will behave. Weather, however, is not the sole driver of wildland fires, because historical records indicate that human uses and settlement patterns also explain fire patterns.
For example, Native Americans in the Great Plains and Rocky Mountain regions ignited fires for more than 70 different reasons—from warfare to hunting to pest control (Gruell 1985). As Europeans settled across the plains and western U.S., fear of the threat of destruction of plant communities, structures, and death led to a reduction in human-ignited fires (Pyne 1982; Ryan et al. 2013). Thus, the frequency through time and spatial patterns of wildland fire is thought to be related to both fire suppression and drought patterns (Westerling and Swetnam 2003).
Humans still serve as an important source of ignition, albeit less intentional. According to the 2012 Bridger-Teton National Forest Annual Fire Report from 2012, 30% of the fires were human ignited versus 70% that were lightning ignited, but more than 90% of the acreage burned was due to human-ignited fires (BTNF 2012).
There is a wide range of historical fire return intervals (aka FRI or the average period between fires under a presumed pre-European settlement fire regime) in Wyoming (Figure 1). I developed a map of Wyoming fire return intervals using Landfire estimates set at 10 natural break classifications (see Resources section for details; Figure 1). These intervals range from the most frequent, every 6 to 30 years in the mixed grass prairie and ponderosa pine of northeastern Wyoming, to 46 to 60 years in some mountain shrub foothills, to 60 to 125 years in sagebrush steppe, to more than
300 years in high-elevation coniferous forests and alpine tundra. This pattern of fire activity and wide range of historical fire frequencies is influenced by variation in vegetation, precipitation, and topography. Furthermore, by understanding fire regimes inherent within plant communities, one can anticipate wildfire risk and potentially manipulate prescribed fire for the management of plants, animals, and wildfire risk. Some biological cycles are also associated with fire, including bark beetle die-off, dead fuel accumulation, and stand-replacing fires (Figure 2).
Wildfire patterns in Wyoming over the last decade have escalated in a somewhat cyclical fashion related to fluctuations in precipitation. From 2002 to 2013, 1.2 million acres burned an average of 100,624 acres annually, with a range from 13,021 acres in 2004 to 357,117 acres in 2012 (Figure 3). Years with the greatest wildfire activity were those with lowest precipitation, and the years with the
2 | Wildland Fire in Wyoming
Figure 1
Mean fire return intervals (MFRI) in Wyoming range from as frequently as every 6 to 15 years in mixed grass prairie to greater than 300 years in high-elevation sub-alpine conifer forests.
Figure 2
Four years after the 2010 Rogers Canyon wildfire near Laramie, Wyoming.
least wildfire activity were those with greatest precipitation. The worst wildfire year during this period was 2012 and was characterized by five successive average or above-average precipitation years followed by one of the driest years on record (Figure 3). An example of a particularly intense and severe fire in 2012
was the North Buffalo complex that burned 28,324 acres near the confluence of Teton, Fremont, and Park counties in the Bridger-Teton National Forest. In this fire, more than 9,653 acres were burned at a high severity level (Figure 4). Other large wildfires during 2012 included the Arapaho complex
Figure 3
Relationship between inter-annual precipitation variability, dry years, and wildfire activity for Wyoming from 2002-2013. (Data source: National Interagency Fire Center – Wildland Fire Statistics (http:// www.nifc.gov/fireInfo/ fireInfo_statistics.html) and National Climatic Data Center (http:// www.ncdc.noaa.gov/ cag/time-series/us). Note that multiple years of average to above-average precipitation lead to fuel accumulation and a following dry year leads to increased fire activity.
Wildland Fire in Wyoming | 3
Figure 4
Fire severity complexity of the August 2012 North Buffalo wildfire complex that burned 28,324 acres near the confluence of Teton, Fremont, and Park counties, Wyoming. Approximately 9,653 acres, or one-third of the acres were rated as high severity. (Data source: Google Earth and Monitoring Trends in Burn Severity (MTBS) http://www.mtbs.gov/ faqs.html).
that burned more than 100,000 acres in the Laramie Range in Platte and Albany counties and the Fontenelle complex that burned more than 50,000 acres in Sublette and Lincoln counties (Figure 5).
Drought
Climate variation and warming trends continue to be an issue of concern worldwide as it relates to biodiversity and the stability of plant communities, especially on grazed arid and semi-arid rangelands (Thomas et al. 2004). It is thought that climatic trends are leading to a higher frequency and severity of drought in the Northern Hemisphere (Meehl and Tebaldi, 2004; Burke and Brown, 2008). The expression of warming in the spring
is also predicted to increase in the western United States and lead to larger wildfires, longer wildfire durations, and longer wildfire seasons, with the greatest increase in mid-elevation forests of the northern Rocky Mountains (Westerling et al. 2006). The central and southern Rocky Mountains are also subject to multi-decadal variations of 20 to 30 years in precipitation, specifically the occurrence of prolonged drought associated with the Atlantic Multidecadal Oscillation (AMO) that shifted to a warm phase in 1995 (Gray et al. 2003). Greater duration and persistence of drought, and associated escalation of wildland fires, in the interior regions of the U.S. is expected and will make it increasingly difficult to untangle the interactive effects of climatic variation, fire, and grazing (Soulé 1992; Fuhlendorf et al. 2001).
Prescribed Fire
Wyoming land managers and agencies have recognized the ecological role of fire in Wyoming, and from 2002 to 2013 prescribe burned 211,228 acres, with an average of 17,602 annually and a range from 5,469 acres in 2013 to 32,852 acres in 2003 (NIFC 2015) (Figure 6). Prescribed burning has been applied in Wyoming to stimulate perennial grasses for livestock production, to stimulate regeneration of shrubs such as aspen (Populus tremuloides) that are important for large native wildlife species (Bartos and Mueggler 1981) (Figure 7), to create a mosaic of habitat structures for wildlife (Derner et al. 2009), and to mitigate the threat of wildfire as a fuel reduction strategy.
The application of prescribed burning in Wyoming is arguably more complex than in the central and eastern Great Plains because Wyoming’s arid and semi-arid climate is likely the cause for longer fire return intervals than in more fire-prone areas to the east, e.g. from 3 to 5 years in the central Great Plains to 29 years to >300 years in some plant communities
Figure 5
Lodgepole pine stand in a public grazing allotment three years after the 2012 Fontenelle wildfire near Big Piney, Wyoming.
Figure 6
Prescribed fire in Carbon County, Wyoming.
Figure 7
Strategic use of prescribed fire to stimulate aspen regeneration in Carbon County, Wyoming.
4 | Wildland Fire in Wyoming
Wildland Fire in Wyoming | 5
of Wyoming and the Front Range of Colorado (Veblen et al. 2000; Westerling et al. 2011). This is also supported by historical evidence that suggests Wyoming grasslands probably burned less frequently than grasslands to the east because of the slower fuel accumulation in the more arid climate (Knight 1994). Furthermore, many shrubs such as sagebrush species (Artemisia spp.) are sensitive to fire and are critically important for obligate species such as greater sage-grouse (Centrocercus urophasianus) and important winter range for large native wildlife species, including elk (Cervus elaphus), mule deer (Odocoileus heminous), and pronghorn (Antilocapra americana) (Eiswerth et al. 2009, Beck et al. 2012). Across the western U.S., there is also concern that invasive species such as cheatgrass (Bromus tectorum) may aggressively invade recently burned areas and may also alter the grass–fire cycle, (Knapp 1996; Keeley and McGinnis 2007; Chambers et al. 2014).
INFLUENCES ON FIRE BEHAVIOR
Fire Weather
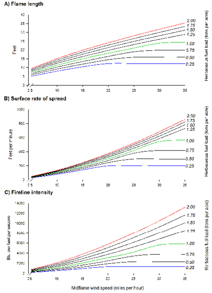
The behavior of fire can be greatly influenced by weather. In conjunction with high fuel loads, extreme fire weather such as high wind speeds can lead to extreme fire behavior, including long flame lengths, rapid rates of spread, and high intensities. For example, I evaluated a dry climate grass–shrub fuel model in BehavePlus 5.0 (see Resources section for details) to demonstrate the effect of wind speed (ranging from 5-35 miles per hour) and herbaceous fuel load (ranging from 0.25-2.00 tons per acre) on fire behavior (Figure 8).
At the lowest fuel loads of 0.25 tons per acre, flame lengths never exceeded 13 feet, rates of spread did not exceed 200 feet per minute, and fireline intensity did not exceed 1,300 Btu per foot per second. At this lowest fuel load, fire behavior plateaued at around 20 miles per hour wind speed. As fuel loads increased, all aspects of fire behavior increased, and the
plateau effect diminished. For example, at a moderate fuel load of 1 ton per acre, flame lengths reached 24 feet, rate of spread reached 565 feet per minute, and fireline intensity reached almost 6,000 Btu per foot per second. At the highest fuel load of 2 tons per acre, flame lengths exceeded 35 feet, rate of spread exceeded 800 feet per minute, and fireline intensity exceeded 13,000 Btu per foot per second.
Considering the different fire behavior for each fuel load example calculated above, fire fighters have to use different suppression tactics. The BehavePlus software is also linked to another free software application called Fire Characteristics Chart that can be good for planning strategic responses relative to fire behavior (see Resources section for details). I have generated a chart depicting potential fire-fighting tactics relative to fire intensity and flame lengths (Figure 9). Note that hand tools are effective only up to about 4-foot flame lengths, then machines such as dozers are needed up to about 8-foot flame lengths. At that point, crown fire potential increases, and aerial support is required.
Temperature can also influence fire behavior by creating warmer fuel particles that need less heat to combust. Wildfires that occur in warm temperatures may burn at a higher intensity than fires occurring in cool temperatures. Perhaps an even more influential weather variable than temperature, however, is relative humidity. Relative humidity greatly influences the moisture of fuels and can dictate if a fuel particle will even ignite or how rapidly it will ignite. A general rule of thumb is that for every 20 °F that temperature increases, the relative humidity is reduced by half. For example, at 60 °F and 80% relative humidity, if the temperature warms to 80 °F, we can expect relative humidity to go down to around 40% (Weir 2009). In other words, relative humidity is inversely related to temperature (Figure 10).
Furthermore, temperature and relative humidity typically follow predictable patterns during 24-hour daily cycles. Temperatures increase through the morning and early afternoon and then decrease in the evening and into the night. Concomitantly, relative humidity typically is highest in the morning
and will reach its lowest point mid-day when temperatures are at their highest (Figure 10). When relative humidity drops below 40%, the probability of embers blowing out of a fire and igniting a spotfire ahead of the flame front increases dramatically (Weir 2009). An example of this relationship, shown in Figure
6 | Wildland Fire in Wyoming
Figure 8
Predicted fire (A) flame lengths, (B) rates of spread, and (C) fireline intensities associated with increasing wind speed and herbaceous fuel loads (on the right axis, ranging from 0.25 – 2.00 tons per acre) for dry grass-shrub fuel model with BehavePlus software.
10, is based on actual weather on 11 March 2015 in Laramie, Wyoming. Note, the lowest relative humidity occurred around 2 p.m. and was approaching 20% (Figure 10). At this point, the risk for spotting embers beyond the flame front and spotfires is high.
Seasonality
Wildfires can burn any time of the year, but certain weather and fuel characteristics make some months more fire-prone than others. A study of areas burned in the western U.S. from 1980 to 2000 suggests that the peak fire season
Figure 9
Example of a fire characteristics chart with appropriate fire-fighting strategies needed relative to fire behavior.
Wildland Fire in Wyoming | 7
Figure 10
Example from Laramie, Wyoming, on 11 March 2015 of the inverse relationship between temperature and relative humidity and the daily cycle of both.
in Wyoming is June through September for the Southern Rockies and Great Plains, and June through October for the Intermountain Semi-desert areas (Westerling et al. 2003; Littell et al. 2009). A comparison of the number of fires ignited by lightning in the Powder River Basin demonstrated that 2 to 4 times more fires were ignited by lightning in June, July, and August than any other month (Komarek 1964; Knight 1994). By understanding peak fire seasons and associated weather and fuel influences on the probability of ignition, we can manage risk and consider how and when plant communities in Wyoming may have burned historically. For example, fuel mitigation measures may need to be in place prior to June in many areas before the most active fire season is expected, or certain plant communities may have burned in the summer and prescribed fire operations may be possible then.
Fuel characteristics
The types of fuels, their characteristics, and arrangement on the landscape also influence fire behavior. The amount of fuel, also known as fuel load, influences fire behavior because fuel load is a reflection of the potential energy that can be released upon combustion. Fuel load is typically measured as the dry weight of flammable plant material in a given unit of area. As demonstrated with the BehavePlus modeling in Figure 8, reducing fuel load can minimize intense or extreme fire behavior. The continuity of fuels is also important because it can exacerbate or limit the rate of spread. Fuel moisture is the amount of moisture in a fuel particle and is typically
measured for live and dead fuels separately. Because live fuel moisture can vary greatly, it is a difficult parameter to use. However, dead fuel moisture is not as dynamic and is much more predictable. Dead fuel moisture is greatly influenced by ambient temperature and relative humidity of the atmosphere.
Dead fuels are often grouped into four classes based on fuel particle-size called time-lag classes (Table 1). Time-lag designations are based on the time it takes for a fuel particle to lose approximately 63% of the difference between its initial moisture content and the equilibrium moisture content, or in other words, how rapidly a fuel particle reaches equilibrium with atmospheric moisture conditions (Weir 2009).
For example, after a rainfall event, fine herbaceous fuels (1-hour fuels) will reach equilibrium with the atmospheric conditions within an hour, but small branches (100-hour fuels) will take about four days. These time-lag fuel classes are based on wooden dowels of different diameters that are calibrated in an elevated and horizontal position relative to atmospheric moisture changes.
The terrain a fire is burning in can also exacerbate or limit fire behavior. In particular, slope can be a major concern because as heat rises, it pre-heats fuels and causes fire to travel up-slope faster. In contrast, fire will travel more slowly going down slopes. A general rule of thumb is that on a 20° slope, fire will move four times faster than it would on level ground with all other weather fuel conditions being equal (Cheney and Sullivan 1997). This is important for fighting wildfires and igniting prescribed fires. When firefighters are responding to wildfires, it is important they recognize that the rate of spread increases going up slope and take precautions in terms of position and escapes. Similarly, when prescribed fires are executed, personnel must take precaution when igniting on slopes and, if
8 | Wildland Fire in Wyoming
Table 1
Time-lag fuel classes and examples.
Wildland Fire in Wyoming | 9
possible, light as they walk down slope and not going up slope.
The relative volatility of fuels can also influence fire behavior. Volatile fuels may simply be fuels that are extremely dry. However, some natural vegetation fuels also have volatile compounds that influence ignition and flammability. An example of this would be highly volatile oils such as terpenes in sagebrush and cedar shrubs/trees (Juniperus spp.) (Owens et al. 1998). In the textbook by Wright and Bailey (1982), prescriptions for prescribed burning are given separately for low-volatile fuels, such as semi-desert grass shrub and mixed grass prairie, and for moderately volatile fuels, such as big sagebrush/grass, big sagebrush/low sagebrush, and ponderosa pine (see Table 2).
FIRE INTENSITY AND SEVERITY
Intensity
The intensity of wild and prescribed fires is related to flame lengths but can be more accurately calculated using Byram’s equation for fireline intensity (Equation 1), which uses several constants and information about fuel load and rate of spread.
Equation 1: Fireline intensity (I) = H * W * R
Where I is the release of energy per given area (Btu per foot or kW per meter), H is the amount of heat from the fuel burned adjusted for moisture content (Btu per pound or kJ per kg), W is the amount of fuel consumed (pound per ft2 or kilogram per m2), and R is the rate of spread (feet per second or meters per second). In this equation, H is a nearly constant value estimated at 8,040 Btu per pound (or 18,700 kilojoules per kilogram), and thus, intensity is controlled by fuel loading and the rate of spread as influenced by factors such as wind (Baker 2009). From a practical standpoint, if fuel load and/or rate of spread increase, then fireline intensity increases as
well. Therefore, calculating fireline intensity is important for understanding how to reduce fuel loads to reduce fireline intensity, how to deploy firefighters to suppress wildfires, and for understanding the potential effects on soils and plant communities.
Severity
Severity can be more difficult to measure and is subject to different definitions and observations. A recent effort to promote a standardized definition and use of severity has been undertaken by several federal agencies in the Monitoring Trends in Burn Severity (MTBS) project (see Resources section for details). This effort has resulted in definitions for five fire severity ratings, as summarized in Table 3. A more detailed explanation of these ratings can be found in Eidenshink et al. (2007). These ratings jointly estimate the proportion of area that burned, the visible fire effects, and the short-term and long-term changes to the vegetation. (Figure 11).
PRESCRIPTIONS AND PRECAUTIONS FOR PRESCRIBED BURNING
The application of prescribed fire requires careful planning, preparation, observation of weather, and the involvement of the appropriate agencies, authorities, and permissions (Figure 12).
Step 1: From the planning perspective, it is critical to identify the conservation and agricultural objectives of the burn. Examples may be to enhance aspen regeneration for native wildlife, mitigate conifer encroachment into grasslands, and enhance herbaceous forage quality and quantity for livestock and wildlife. Other considerations for post-fire management can depend on the goal. For example, if regenerating aspen with fire is the goal, it is important to consider how animals will be attracted to the resprouting aspen, and managers will either need to have enough fire
on the landscape to disperse that pressure or somehow protect the aspen stands.
Step 2: Once objectives of a burn are identified, it is imperative to identify the fire weather prescription that will minimize the risk of an escape and optimize the accomplishment of objectives. Examples may be establishing a minimum relative humidity level below which prescribed fire will not be
applied or burning after a precipitation event to minimize the combustion and mortality of large conifers. Examples of prescriptions are presented in Table 2. When developing prescriptions, it is important to have a range of desired or optimum conditions and a maximum range within which the fire could still be safely executed so as not to limit fire operations.
10 | Wildland Fire in Wyoming
Figure 11
Wildfire fire effects and severity ratings from the August 2011 Squaw Mountain wildfire in Albany and Platte Counties three years after the fire (Data source: Google Earth and Monitoring Trends in Burn Severity (MTBS) http://www.mtbs.gov/ faqs.html).
Step 3: The next step is to determine the preparations that are needed. Preparations to consider are (1) what types of firebreaks are in place and what ones need to be established, (2) what type of equipment and fire crew is needed to conduct the burn, (3) what is the ideal ignition sequence, (4) what wind direction is ideal or under which is it even
possible to burn, and (5) what smoke-sensitive areas require particular caution.
Step 4: Now it is critical to determine what types of permission and forms are required and who should be notified. County sheriff offices often serve as dispatch centers, so notification of the county sheriff is advised.
Table 2
Examples of prescriptions summarized from Wright and Bailey’s (1982) textbook Fire Ecology: United States and southern Canada.
Wildland Fire in Wyoming | 11
Table 3
MTBS fire severity ratings.
Step 5: An increasingly important aspect to prescribed burning is the management of smoke. Smoke dispersion is so important that the Wyoming Department of Environmental Quality has standards and regulations that pertain to the release of smoke from all outdoor burning. Depending on the size of the burn and anticipated release of smoke, a permit may be required. For more information, go to http://deq.wyoming.gov/aqd/smoke-management-and-open-burning/. For smoke management, there are a number of computer-based smoke dispersion models. A free model available online is VSmoke (see Resources section for details).
Step 6: All the earlier steps come together in this step of developing a written plan. For writing the burn plan, a detailed guide is provided online (http://pods.dasnr.okstate.edu/docushare/ dsweb/Get/Document-9043/ NREM-2893web.pdf).
Managing liability and risk
Another challenge to conducting prescribed fires is managing the risk and liability, and understanding how liability relative to prescribed fire is defined in your state is imperative. In Wyoming, prescribed fire liability under state statutes is defined as “criminal penalty for unattended fire or negligent escape” as opposed to “burner strict liability” in North Dakota (Yoder 2004).
While proper planning goes a long way for risk management, some practitioners are interested in insurance. As of February of 2015, liability insurance for landowners who use prescribed fire was made available nationwide through the Bramlett Agency (for more information http://www.noble.org/ag/wildlife/prescribed-burn-insurance/?facebook; Stevens 2015). For the tech savy, a smartphone app was released in 2014 to assist with planning prescribed fires (see Resources section for details). The guidance on prescribed burning in this document is only a starting point. If a private landowner has no experience with prescribed fires, consultation should be sought from experienced professionals.
Managing wildfire risk
Although land managers and livestock producers continue to debate how to apply prescribed fire most effectively and judiciously, there is also the risk that completely suppressing fire can lead to fuel accumulation and potentially catastrophic wildfires that could burn large expanses of Wyoming rangeland. An example of fire suppression comes from a study at two sites near Laramie Peak that demonstrated fires had not occurred for 86 to 88 years, fire-free intervals that were longer than any recorded since the 1800s. In these scenarios, potentially large areas of sagebrush or overstory trees could be killed, and several decades of recovery would be needed.
The risk of wildfire destroying property and threatening lives can also be mitigated by managing fuel loads close to homes. Stakeholders in Wyoming need to be aware of temporal and spatial patterns of wildfires, how to mitigate the risk of damage to life and property associated with wildfire, and how to strategically apply wildfire to benefit livestock production, wildlife habitat, and reduce fuel loading.
12 | Wildland Fire in Wyoming
Figure 12
Conducting a prescribed burn in a semi-arid grassland/shrubland. Prescribed burning requires identifying objectives for the burn, planning, preparation, observation of the weather, execution, and assessing the response.
Wildland Fire in Wyoming | 13
Assess objectives
Once a prescribed fire is complete, it is important to go through the burn unit to assess if the objectives of the burn were accomplished. This could include mortality of encroaching conifers, protection of sagebrush areas, or the completeness of the fuels consumed by the fire as a fuel reduction strategy. The ultimate goals for every prescribed fire should be safety and effectiveness, and clarifying if these goals were attained is the final step. If these goals were not attained, then identifying the limiting factor and correcting for future burning operations is critical.
FIRE EFFECTS
Fire effects on plant communities
Given the wide range of fire return intervals in Wyoming, it is expected that different plant communities respond to fire differently and at different rates. Some plant communities are very sensitive to fire. For example, most species of sagebrush (Artemisia) do not resprout after disturbance and have to recover by recruiting seedlings. Subsequently, it can take from 35 to 100 years for mountain big sagebrush (Artemisia tridentata vaseyana) and 50 to 120 years for Wyoming big sagebrush (Artemisia tridentata wyomingensis) to recover after fire (Table 4)(Beck et al. 2009, 2011, 2012).
In contrast, some plant communities are very resilient to fire. For example, aspen (Populus tremuloides) is stimulated by fire, regenerates vegetatively after fire, and can tolerate a regular fire (DeByle and Winokur 1985). After the Yellowstone fires of 1988, many new aspen seedlings became established, and it has been suggested that fire could be strategically used to stimulate the development of new aspen forests and mitigate the browsing pressure on any single aspen grove (Knight 1994). Some plant communities require infrequent, intense fires. These include upper-montane mixed-conifer and sub-alpine forests that
are dominated by Engelmann spruce (Picea engelmannii), Douglas fir (Pseudotsuga menziesii), and lodgepole pine (Pinus contorta). In these systems, severe stand-replacing wildfires may occur every 150 to 350 years (Barrett 1994). A study in subalpine forest (lodgepole pine and Engelmann spruce-subalpine fir (Abies lasiocarpa)) in the Medicine Bow-Routt National Forest in southeastern Wyoming measured fire scars and determined that individual trees had fire scars (considered as fire interval) ranging from 6 to 16 years, and stand-replacing fires (considered as fire rotation) occurred every 127 to 182 years (Kipfmueller and Baker 2000).
Some species that can be killed by fire, such as ponderosa pine (Pinus ponderosa), relied on regular fire every 6 to 25 years to maintain open pine stands and an understory of herbs and shrubs. A study of ponderosa pine stands near Laramie Peak suggested fires occurred every 26 to 34 years (Brown et al. 2000). Historically, these fires were frequent and of low intensity. Fire suppression is suspected to have led to a greater density of ponderosa pine stands, because fire is known to kill mostly young trees but not older trees with thicker bark. However, in ponderosa pine and other conifer plant communities, fire intensity and severity can influence the mortality of large trees (Figure 11) (Knight 1994).
An example of variable fire intensity and the effect on conifers is the 2011 Squaw Mountain wildfire that occurred in Albany and Platte counties (Figure 11). In this example, where fire burned at a high severity, the conifer overstory was killed, an effect that was not the case in areas that burned at a moderate severity. Thus, the effects of fire severity can override the resilience to fire by certain species. To further understand the fire severity ratings, it is important to understand how severity relates to the initial and subsequent fire effects. The MTBS burn severity ratings are based on the degree to which a site has
been altered by fire relative to the first-order effects (what happens immediately after the fire) and second-order effects (changes that arise within one growing season), primarily related to vegetation biomass. These intensity ratings also consider the effect of fires on soils.
Fire effects on herbaceous vegetation, livestock, and wildlife
Fire can play an important role in preventing the transition of grasslands to shrublands or woodlands, or conversely, leading to the
rapid transition of shrublands and forests to grasslands. Herbaceous vegetation can have variable responses to fires, depending on severity, growth form, and season of growth. It is generally accepted that warm-season grasses tolerate fire better than cool-season grasses (Wright and Bailey 1982). However, even within cool-season grasses as a group, the response to fire can vary in part according to other growth habits. Bunchgrasses such as Idaho fescue (Festuca idahoensis) and needle-and-thread (Hesperostipa comata)
14 | Wildland Fire in Wyoming
Table 4
Major plant communities in Wyoming, characteristic plant species, and historical mean fire return intervals and characteristics.
Wildland Fire in Wyoming | 15
may be harmed by fire, especially summer fires. In contrast, bluebunch wheatgrass (Pseudoroegneria spicata), bottlebrush squirreltail (Elymus elymoides), and crested wheatgrass (Agropyron cristatum) are less susceptible to damage. Rhizomatous grasses such as thickspike wheatgrasses (Elymus lanceolatus) and blue grama (Bouteloua gracilis) generally recover rapidly after fire (Wright and Bailey 1982). The reduction of competition with shrubs, however, is documented to enhance grass yields and in some instances provide a boost in forage quality. Scientists have also reported an increase in productivity for western wheatgrass (Pascopyrum smithii) and little bluestem (Schizachrium scoparium), important cool-season and warm-season perennial grasses in the western Great Plains and Intermountain regions (Limb et al. 2011; Vermeire et al. 2014). In shortgrass steppe, later winter fires increased digestibility of blue grama with no reduction in plant production (Augustine et al. 2010). However, even for fire-tolerant species, several years may be required for recovery to pre-fire canopy cover levels, depending on precipitation post-fire. Therefore, it is important to understand the potential benefits for forage quality and understand the species-specific responses.
Fire effects on soils
The effect of fire on soils is variable, depending on the intensity of heat produced and the effects on the vegetation. In low-intensity scenarios, nutrients from decaying plant litter are recycled, nutrient availability increases after fire, understory plants resprout quickly, and very little erosion occurs. In high-intensity scenarios, mineral soil may be exposed, understory plants may respond slowly, herbaceous litter that stabilizes soil may be temporarily lost, and erosion rates may be high. These negative effects are a particular concern in areas with steep slopes, when
severe wildfires uniformly burn all vegetation, and during extremely dry post-fire periods.
Interaction with bark beetles
The recent outbreaks of bark beetles, such as the mountain pine beetle (Dendroctonus ponderosae), on millions of acres of conifer stands of western North America has caused great concern, including in Wyoming (Romme et al. 1986; McMillin et al. 2003). A particular concern associated with wildfire–beetle outbreak interactions is the potentially greater risk for extreme crown fires in affected stands. As beetle outbreaks progress, fuel loadings and predicted fire behavior changes (Hicke et al. 2012). These are related to the elapsed time since a beetle outbreak starts and can be variable in both time and space. As a beetle outbreak progresses, the amount of dead woody fuels (100-hr and 1,000-hr) and ladder fuels increases, with a noticeable spike at about four years after the oubreak. This stage, the “gray phase” is typically characterized by the needles dropping off the trees. At this time, the amount of ladder fuels, considered to be live or dead vegetation that allows flames to move upward from the herbaceous fuel bed into the tree canopy, also increases. As the woody fuel complex dies, senesces, falls, and accumulates, the potential for torching increases, surface fire properties (flame length, rate of spread, and intensity) escalate, and active crown fire potential increases. These fuel loading and fire behavior risk features are evident for multiple decades after the bark beetle outbreak begins (Hicke et al. 2012). The beetle outbreak cycle relative to management and climate and stand regeneration is estimated at 80 to 105 years, with frequency of infestations occurring as often as every 20 to 40 years (Amman 1977; Collins et al. 2011).
16 | Wildland Fire in Wyoming
CONCLUSION
Wyoming has complex wildfire patterns driven by variable weather and fuel characteristics, including diverse plant communities, topographical influences, geological and soil characteristics, and precipitation regimes. Consequently, the drivers and effects of wildland fire vary broadly across the state and make fire management difficult to generalize. Furthermore, the cyclical and seasonal nature of fire relative to wet and dry years is particularly noteworthy and is useful in planning wildfire mitigation strategies on both a seasonal basis due to intra-annual
variation and a decadal basis due to inter-annual variation. Understanding this broad spectrum of fuels and fire return intervals is a critical starting point for risk management and restoring fire to manage plant communities and habitat. The formative role of fire is also indicative of how prescribed fire might be strategically applied to mitigate wildfire risk, optimize wildlife habitat in fire-adapted plant communities, and protect fire-sensitive species. For more information on fire training and response in Wyoming, go to the Wyoming State Forestry Division Fire Information Website (see Resources section for details).
Wildland Fire in Wyoming | 17
Acknowledgments
I thank Associate Professor Jeff Beck (University of Wyoming), Assistant Professor Brady Allred (University of Montana), and Weather Variability and Agricultural Resiliency Specialist and Regional Extension Coordinator Windy Kelley (Northern Plains Regional Climate Hub) for reviewing and providing constructive criticism to improve this bulletin. All photos and figures are credited to the author, J. Derek Scasta.
RESOURCES
BehavePlus 5.0
Free fire behavior modeling software with many fuel model and fire weather options, United States Department of Agriculture, United States Forest Service. https://www.frames.gov/partner-sites/behaveplus/software-manuals/
Fire Characteristics Chart 2.0
Free modeling software that is good for planning strategic suppression response relative to fire behavior and intensity, United States Department of Agriculture, United States Forest Service. https://www.frames.gov/partner-sites/behaveplus/software-manuals/
Landfire
Publicly available database of more than 20 geo-spatial layers of vegetation, fuels, disturbances, fire return intervals, etc. United States Department of Agriculture, United States Forest Service, United States Department of Interior. http://www.landfire.gov/
Monitoring Trends in Burn Severity (MTBS)
Free maps of wildfire and prescribed fire perimeters and burn severity. United States Geological Survey, United States Forest Service. http://www.mtbs.gov/
Prescribed Burning Handbook Smartphone App
Free web-based platform for planning prescribed fires. Oklahoma State University. http://factsheets.okstate.edu/e1010/
VSmoke
Free GIS based smoke dispersion models. United States Department of Agriculture, United States Forest Service. http://webcam.srs.fs.fed.us/tools/vsmoke/
Wyoming State Forestry Division Fire Information Website
Important information for wildland fire training, reporting, and mitigation. https://sites.google.com/a/wyo.gov/wsfd-fire-information/
18 | Wildland Fire in Wyoming
GLOSSARY OF TERMS
(Generally based on the National Wildlfire Coordinating Group – NWCG Glossary (http://www.nwcg.gov/glossary/a-z))
Controlled burn (or controlled burning)
An intentionally set fire with some level of safety precautions and planning; sometimes used interchangeably with ‘prescribed burn’ but a prescribed burn would apply a greater level of risk management due to the strict prescription of weather, fuel, law, policy, notification, and safety parameters for burning.
Crown fire
Fire that advances through the tops of trees or shrubs and can be independent of fuels on the ground surface; as opposed to a surface fire.
Dead fuel
Organic biomass that has no living tissue, and fluctuations in moisture content are determined by atmospheric moisture, relative humidity, and precipitation; as opposed to live fuels
Ember
Small piece of burning or smoldering fuel
Fire behavior
How fire responds to fuel, weather, and topography
Fire break (or fire guard)
A boundary to a fire unit or a boundary installed to contain a wildfire where the fuels are removed by mowing, plowing, or other methods
Fire effects
The physical, biological, and ecological impacts of fire on the environment, including the soils, plants, and animals
Fire frequency
Recurrence of fire in a defined area through time
Fire intensity
Energy release due to combustion of organic matter
Fire prone
Plant communities that have a propensity to burn and may be dependent on fire
Fire regime
The pattern of fire frequency, size, severity, and intensity of an area through space and time
Fire return interval
Length of time between fires under an assumed fire regime for a given point in space
Fire scar
Either a healed injury caused by fire on a woody plant or an area disturbed by fire that is noticeable on the landscape
Fire severity
Level of fire-induced alterations to the soils, vegetation, and other biota of a site
Fire suppression
Human activities associated with extinguishing fire
Fire weather
Weather conditions, such as wind speed, relative humidity, and temperature, that influence the likelihood of ignition, fire behavior, and the suppression resources required
Flame front
Zone of a moving fire where the combustion of plant materials is flaming
Wildland Fire in Wyoming | 19
Flame length
Distance between the ground and the tip of the flame measured at the flame front
Fuel characteristics
Characteristics, such as compactness, continuity, moisture, and particle size, that partially determine fire behavior
Fuel continuity
How connected or continuous fuel particles are and how that influences fire spread
Fuel load
Amount of fuel in a given area; often expressed as weight per area
Hand tools
Fire suppression tools that can be carried and operated by a single individual; includes shovels, rakes, swatters, and backpack sprayers
Herbaceous vegetation
Grasses, grasslikes (sedges and rushes), and flowering plants with no persistent woody stems
Ignition (or igniting)
Initiating the burning of fuels; for example, igniting fuels with a drip torch
Liability
Legal definition of being responsible for actions; examples include strict or unlimited liability, negligent unless proven otherwise, or not negligent unless proven negligent; lability definitions are also influenced by permits, bans or prescribed burn manager laws
Live fuel
Living plants in which moisture content is largely determined by internal physiology; as opposed to dead fuels
Prescribed fire (or prescribed burn or prescribed burning)
An intentionally set fire with a greater level of safety precautions than a controlled burn; sometimes used interchangeably with ‘controlled burn’ but a prescribed burn would apply a greater level of risk management due to the strict prescription of weather, fuel, law, policy, notification, and safety parameters for burning
Rate of spread
How quickly the flame front is moving; often expressed in a unit of length relative to a unit of time such as feet per second or miles per hour
Recruitment (or seedling recruitment)
Strategy employed by some plant species to re-establish that requires seeds to fall and germinate; as opposed to resprouting
Resilience (or resilient)
Ability to recover after disturbance to a state similar to the one prior to the disturbance
Resprout
Strategy employed by some plant species to re‑establish that occurs by new shoots generating from meristematic tissue that can occur basally, apically, or epicormically; as opposed to recruitment
Sensitive
In the context of fire, a species or ecosystem that is not resilient to fire or is killed by fire
Spotfire
A fire that has moved out of the burn unit, often due to a moving ember
Surface fire
Fire that burns herbaceous vegetation, such as, leaves, needles, and dead fallen material and moves along the surface of the ground; as opposed to a crown fire
20 | Wildland Fire in Wyoming
Volatile (or volatility)
Fuels that are easily ignited due to chemical compounds or other fuel characteristics such as low moisture
Wildfire
Fire that was unplanned and unwanted and when the objective is to extinguish the fire
Wildland fire
Any fire on rangeland or forestland; often used to refer to prescribed fires or wildfires
Wildland Fire in Wyoming | 21
REFERENCES
Amman, G.D. 1977. The role of the mountain pine beetle in lodgepole pine ecosystems: impact on succession. IN: The Role of Arthropods in Forest Ecosystems, pp. 3-18. Springer, Berlin, Germany.
Augustine, D.J. et al. 2010. Prescribed fire, grazing, and herbaceous plant production in shortgrass steppe. Rangeland Ecology and Management 63:317-323.
Baker, W.L. 2009. Fire Ecology in Rocky Mountain Landscapes. Island Press, Washington, DC.
Barrett, S.W. 1994. Fire regimes on andesitic mountain terrain in northeastern Yellowstone National Park, Wyoming. International Journal of Wildland Fire 4(2):65-76.
Bartos, D.L., and W.F. Meuggler. 1981. Early succession in aspen communities following fire in western Wyoming. Journal of Range Management 34:315-318.
Beck, J.L., et al. 2009. Recovery of greater sage‐grouse habitat features in Wyoming big sagebrush following prescribed fire. Restoration Ecology 17(3):393-403.
Beck, J.L., et al. 2011. Potential and pitfalls of prescribed burning big sagebrush habitat to enhance nesting and early brood-rearing habitats for greater sage-grouse. Natural Resources and Environmental Issues 16:1-6.
Beck, J. L., et al. 2012. Consequences of treating Wyoming big sagebrush to enhance wildlife habitats. Rangeland Ecology and Management 65:444–455.
BTNF. 2012. Bridger-Teton National Forest 2012 Annual Fire Report. [Online] http://gacc.nifc.gov/gbcc/dispatch/wy-tdc/documents/local-operations/teton-area/BT_annual_report2012.pdf
Bowman et al. 2011. The human dimension of fire regimes on Earth. Journal of Biogeography 38: 2223-2236.
Brown, P.M. et al. 2000. Historical fire frequency in ponderosa pine stands in research natural areas, Central Rocky Mountains and Black Hills, USA. Natural Areas Journal 20:133-139
Burke, E.J., and S.J. Brown. 2008. Evaluating uncertainties in the projection of future drought. Journal of Hydrometeorology 9:292-299.
Carmona‐Moreno, C. et al. 2005. Characterizing interannual variations in global fire calendar using data from Earth observing satellites. Global Change Biology 11:1537-1555.
Chambers, J.C. et al. 2014. Resilience to stress and disturbance, and resistance to Bromus tectorum L. invasion in cold desert shrublands of western North America. Ecosystems 17(2):360-375.
22 | Wildland Fire in Wyoming
Cheney, P., and A. Sullivan. 1997. Grassfires: Fuels, Weather and Fire Behavior. CSIRO Publishing, Collingwood, Australia.
Collins, B. J. et al. 2011. Tree regeneration and future stand development after bark beetle infestation and harvesting in Colorado lodgepole pine stands. Forest Ecology and Management 261:2168-2175.
DeByle, N.V., and R.P. Winokur. 1985. Aspen: Ecology and Management in the Western United States. USDA-USFS General Technical Report RM-119, Fort Collins, CO.
Derner, J.D. et al. 2009. Livestock as ecosystem engineers for grassland bird habitat in the western Great Plains of North America. Rangeland Ecology and Management 62:111-118.
Eiswerth, M.E. et al. 2009. Post-fire seeding on Wyoming big sagebrush ecological sites: regression analyses of seeded nonnative and native species densities. Journal of Environmental Management 90:1320-1325.
Flannigan, M.D. et al. 2009. Implications of changing climate for global wildland fire. International Journal of Wildland Fire 18:483-507.
Fuhlendorf, S.D. et al. 2001. Herbaceous vegetation change in variable rangeland environments: the relative contribution of grazing and climatic variability. Applied Vegetation Science 4:177-188.
Gray, S.T. et al. 2003. Patterns and sources of multidecadal oscillations in drought‐sensitive tree‐ring records from the central and southern Rocky Mountains. Geophysical Research Letters 30:491-494.
Hicke, J.A. et al. 2012. Effects of bark beetle-caused tree mortality on wildfire. Forest Ecology and Management 271:81-90.
Keeley, J.E., and T.W. McGinnis. 2007. Impact of prescribed fire and other factors on cheatgrass persistence in a Sierra Nevada ponderosa pine forest. International Journal of Wildland Fire 16:96-106.
Kipfmueller, K.F. and W.L. Baker. 2000. A fire history of a subalpine forest in south‐eastern Wyoming, USA. Journal of Biogeography 27:71-85.
Knapp, P.A. 1996. Cheatgrass (Bromus tectorum L.) dominance in the Great Basin Desert: history, persistence, and influences to human activities. Global Environmental Change 6:37-52.
Knight, D.H. 1994. Mountains and Plains: The Ecology of Wyoming Landscapes. Yale University Press, New Haven, CT. and London, UK.
Wildland Fire in Wyoming | 23
Komarek, E.V. 1968. Lightning and lightning fires as ecological forces. IN: Proceedings, 8th Annual Fire Ecology Conference, pp. 169-197. Tall Timbers Research Inc., Tallahassee, FL, USA.
Limb, R.F. et al. 2011. Growing-season disturbance in tallgrass prairie: evaluating fire and grazing on Schizachyrium scoparium. Rangeland Ecology and Management 64:28-36.
Littell, J.S. et al. 2009. Climate and wildfire area burned in western US ecoprovinces, 1916-2003. Ecological Applications 19:1003-1021.
McMillin, J.D. et al. 2003. Effects of western balsam bark beetle on spruce-fir forests of north-central Wyoming. Western Journal of Applied Forestry 18:259-266.
Meehl, G.A., and C. Tebaldi. 2004. More intense, more frequent, and longer lasting heat waves in the 21st century. Science 305:994-997.
NIFC 2015. National Interagency Fire Center, Wildland Fire Statistics. [Online] http://www.nifc.gov/fireInfo/fireInfo_statistics.html
Owens, M.K. et al. 1998. Seasonal patterns of plant flammability and monoterpenoid content in Juniperus ashei. Journal of Chemical Ecology 24:2115-2129.
Pyne S.J. 1982. Fire in America: A Cultural History of Wildland and Rural Fire. Princeton University Press, Princeton, NJ.
Romme, W.H. et al. 1986. Mountain pine beetle outbreaks in the Rocky Mountains: regulators of primary productivity? American Naturalist 127:484-494.
Ryan, K.C. et al. 2013. Prescribed fire in North American forests and woodlands: history, current practice, and challenges. Frontiers in Ecology and the Environment 11:15-24.
Stevens, R. 2015. New Prescribed Burn Insurance Protects Landowners. The Samuel Roberts Noble Foundation. [Online] http://www.noble.org/ag/wildlife/prescribed-burn-insurance/?facebook
Soulé, P.T. 1992. Spatial patterns of drought frequency and duration in the contiguous USA based on multiple drought event definitions. International Journal of Climatology 12:11-24.
Thomas, C.D. et al. 2004. Extinction risk from climate change. Nature 427:145-148.
Veblen, T.T. et al. 2000. Climatic and human influences on fire regimes in ponderosa pine forests in the Colorado Front Range. Ecological Applications 10:1178-1195.
Vermeire, L.T. et al. 2014. Semiarid rangeland is resilient to summer fire and postfire grazing utilization. Rangeland Ecology and Management 67:52-60.
24 | Wildland Fire in Wyoming
Westerling, A.L., and T.W. Swetnam. 2003. Interannual to decadal drought and wildfire in the western United States. Transactions American Geophysical Union 84:545-555.
Westerling, A.L. et al. 2003. Climate and wildfire in the western United States. Bulletin of the American Meteorological Society 84:595–604.
Westerling, A.L. et al. 2006. Warming and earlier spring increase western U.S. forest wildfire activity. Science 313:940-943.
Westerling, A.L. et al. 2011. Climate change and growth scenarios for California wildfire. Climatic Change 109:445-463.
Weir, J.R. 2009. Conducting Prescribed Fires: A Comprehensive Manual. Texas A&M University Press, College Station, TX.
Weir, J.R., and J.D. Scasta. 2014. Ignition and fire behaviour of Juniperus virginiana in response to live fuel moisture and fire temperature in the southern Great Plains. International Journal of Wildland Fire 23:839-844.
Weir, J.R. et al. 2013. Burn Plan for Prescribed Burning. Oklahoma Cooperative Extension Service Factsheet. E-2893. [Online] http://pods.dasnr.okstate.edu/docushare/dsweb/Get/Document-9043/NREM-2893web.pdf
Wright, H.A., and A.W. Bailey. 1982. Fire Ecology: United States and Southern Canada. John Wiley & Sons, New York City, NY.
Yoder, J. 2004. Effects of Liability and Regulation on Prescribed Fire Risk in the United States. IN: Proceedings, Second International Symposium on Fire Economics, Planning, and Policy: A Global View. pp. 639-50.